- 학회장 서신: “2016년 춘계학술대회 및 총회”를 마치면서!
- 2016년 춘계학술대회 이모저모
- 한국세라믹학회 회장 Highly-functional Material World 2016 참석
- MMA 2016 (Microwave Materials and their Applications 2016)
- ISASC 2016 (4th International Symposium on New Frontier of Advanced Si-Based Ceramics and Composites)
- [학회지 우수논문] Effect of MnO2 Addition on Microstructure and Piezoelectric Properties of 0.95(Na0.5K0.5)NbO3-0.05CaTiO3 Piezoelectric Ceramics (김종현, 서인태, 허준, 김대현, 남산)
- [학회지 우수논문] A Superior Description of AC Behavior in Polycrystalline Solid Electrolytes with Current-Constriction Effects (이종숙)
- [학회지 우수논문] The Effect of Fused Silica Crystallization on Flexural Strength and Shrinkage of Ceramic cores for Investment Casting (김영환, 여정구, 최성철)
- 웨어러블 ‘섬유형 트랜지스터’ 개발
- 2000도 이상 견디는 초고온 세라믹 코팅기술 개발
- 재료연 2차원 초박막 소재 계면 접합 기술 개발… 웨어러블 기기 상용화
- 전기차 운행거리 3배 늘린다.. 日 고성능 전지 개발
- [이슈분석] 터치•투명전극 패터닝 기술 난제 해결해야
- 전자피부로 활용 가능한 초박막 투명유연 촉각센서 개발
- KAIST, 반딧불이 구조 적용 OLED 개발
학회소식
학회장 서신: “2016년 춘계학술대회 및 총회”를 마치면서!

한국세라믹학회 2016년 춘계학술대회 및 총회가 지난 4월 20일(수)부터 22일(금)까지 부산 해운대에 위치한 벡스코(BEXCO)에서 성황리에 개최되었습니다. 여러 회원님들의 적극적인 참여와 호응으로 성공적으로 마무리 지었음에 깊은 감사의 말씀을 드립니다.

이번 학술대회는 미국 Pennsylvania State Univ.의 G. Messing 교수와 일본 동공대(TIT) 명예교수로 현재 대만 국립 ChengKung Univ.의 글로벌 재료연구추진센터 소장인 M. Yoshimura 교수의 기조강연 2건을 비롯하여, 단기강좌 2건, 세션별 초청강연 110건, 학생연구주제 발표경연대회를 포함한 구두발표 116건과 포스터발표 399건, 강민구 부산지방법원장의 인문학강좌 등 총 630편의 다양하고 수준 높은 연구결과가 발표 되었습니다.

학회 기간이 대한화학회 및 한국물리학회의 춘계학술대회와 49회 과학의날 행사와 겹쳐 다소 염려되는 부분도 있었지만 그럼에도 불구하고 학회 참가자에 있어 지금까지의 춘계학술대회 만으로는 최대수인 860여명이 등록하였고 전시부스(광고 및 후원 포함) 42개와 여러 연구기관이 참여하는 등 폭 넓은 학문 및 기술교류의 장이 되었습니다.

특히 이번 학술대회는 ‘세라믹 산학연 포럼’이 개최되어, 세라믹소재 관련 산업체, 연구소 및 대학의 120여명 회원들이 함께 모여 산·학·연의 보유기술과 세라믹 산업분야의 기술수요를 소개하고 산·학·연 간에 상호 소통의 마당을 마련하였으며 기업이 필요로 하는 기술 수요 등에 대한 설문조사도 실시하였습니다. 이외에도 이번 처음 도입한 스마트폰용 한국세라믹학회 학술대회 앱 역시 효용성 있게 활용 된 바와 같이 앞으로도 더욱 정보화된 학술대회로 발전되도록 하겠습니다.

따라서 이번 ‘2016년 춘계학술대회 및 총회’는 회원 및 학술대회 참가자 여러분들의 적극적인 참여로 내외적으로 우리 학회가 한층 더 도약할 수 있는 계기가 되었다고 평가합니다. 더욱이 정년을 수개월 남기고 여러 가지로 여건이 쉽지 않았을 터인데도 불구하고 후배들에게 봉사의 정신을 솔선수범하여 보여주신 경남대의 오영우 조직위원장님은 크게 귀감이 되어 이에 다시 한 번 감사드립니다. 이밖에도 조직위원회 부위원장님들을 비롯한 위원 여러분, 심포지엄 오거나이저, 학회 임원 및 사무국 직원들과 세라미스트의 밤에 축사해 주신 이부섭 과총회장님께도 심심한 감사의 마음을 전합니다.

최근 들어 세라믹은 나노기술, 정보통신기술, 에너지/환경기술, 우주항공기술, 바이오기술 등과 같은 첨단기술의 중심에 서 있으며 향후 국가산업 발전에 없어서는 안 될 핵심 소재 산업입니다. 따라서 11월 23일부터 25일까지 서울 코엑스에서 개최될 ‘2016년 추계학술대회’에서는 이번에 추가로 세션을 만든 탄소관련재료 외에 세라믹이 관련된 전지, 디스플레이, LED 등의 전문 분야도 확대 진행되도록 하고 도자기, 유리 등 전통세라믹스의 시현을 위한 부스 운영까지도 더욱 확대 시킬 예정입니다. 또한 세라믹연합회와 공동주최하는 ‘국제세라믹산업전 2016’의 성공적 개최를 위해 학회 역시 배전의 노력을 기울일 것입니다.

끝으로 우리 모두 이번 학술행사의 성공적인 개최가 세라믹스분야 뿐만 아니라 대한민국 산업 전체에 도전과 혁신을 위한 작은 밑거름이 되고, 또 해가 갈수록 많은 산업체가 참여할 수 있는 세라믹산업 발전의 주춧돌이 되길 바랍니다. 학회에서도 이를 위해 “먼저 다가가는 학회, 소통하는 학회”로 슬로건을 정하였습니다. 또한 학회를 마치면서 첨언코자하는 것은 학회가 내년 창립 60주년을 맞이하는 상황에서 그동안 컨센서스를 이루지 못하여 전면 보류되어 왔었던 학회로고 개정 문제도 백지상태에서 여러 회원들의 재공모를 통하여 이견들을 조정하여 전면 시행 할 수 있도록 준비하고자 합니다. 새로운 학회로고 제정을 위한 회원 여러분의 적극적인 참여를 당부하면서 우리 모두 지속가능한 학문과 산업 발전을 견인하는 대한민국의 자랑스러운 세라미스트가 되도록 합시다.

감사합니다.

2016. 04. 27.
한국세라믹학회 회장 오 영 제 드림

학회소식
2016년 춘계학술대회 이모저모
4월 20일부터 22일까지 3일간 부산 벡스코에서 개최된 본 대회에서는 기조강연 2건, 단기강자 2건, 학생연구주제발표대회, 일반 세션 및 주제별 심포지엄 등 총 630여 편 이상의 연구논문이 발표되어, 작년 춘추계 학술대회보다 확대된 모습이다. 특히 올해 학술대회는 ‘한국세라믹기술원’, ‘한국세라믹연합회’ 등 산학연 관계자들이 참여한 ‘세라믹 산학연 포럼’, ‘인문학 강연’, ‘슈퍼스타 SOFC 시즌1: 희망을 연구하라’, ‘빅 데이터 강좌’, ‘도자 시연’ 등 참가자의 흥미를 이끄는 다양한 행사가 준비되었다 (세라믹 코리아 5월호 기사 내용 발췌).
학회소식
한국세라믹학회 회장 Highly-functional Material World 2016참석
오영제 한국세라믹학회 회장은 1st Ceramics Japan, 3rd Matal Japan, 5th Plastic Japan, 7th FilmTech Japan, 26th Finetech Japan: Flat Panel Display Technology Expo, Photonix 2016 의 6개 기능성 재료 관련 전시회가 합동으로 개최한 1350여개 부스의 세계최대규모의 “Highly-functional Material World 2016” 전시회(Tokyo Big Sight, Japan/ ’16. 04. 05 – ’16. 04. 08) 에 참가하여 VIP Tape cutting 등 국제교류를 증진하였다.
학회소식
MMA 2016
IMPORTANT DATES
Abstract Submission Due: March 31, 2016
Notice of Acceptance: April 30, 2016
Pre-registration Due: May 31, 2016
Accommodation Reservation Due: May 31, 2016
Proceeding Manuscript Submission Deadline: July 7, 2016
학회소식
ISASC 2016
IMPORTANT DATES
Abstract Submission Extended Deadline: May 30, 2016
Abstract Acceptance Notification: JUN 15, 2016
Pre-registration Deadline: AUG 15, 2016
Research Highlights
Journal of the Korean Ceramic Society, Vol. 53, No. 2, pp. 129~133, 2016
Effect of MnO2 Addition on Microstructure and Piezoelectric Properties of 0.95(Na0.5K0.5)NbO3-.05CaTiO3 Piezoelectric Ceramics
김종현*, 서인태**, 허준*, 김대현**, 남산*,**,†
*Department of Nano-Bio-Information-Technology, KU-KIST Graduate School of Converging Science and Technology
**Department of Materials Science and Engineering, Korea University
PZT세라믹을 대체하기 위하여 많은 곳에서 무연 압전 세라믹에 대한 연구가 진행되어 왔는데, 그 중 유망한 물질로 꼽히는 NKN세라믹이 지속적으로 연구되어 왔다. NKN세라믹은 전통적인 방법으로 소결하기가 어렵고 물에 분해되는 문제를 가지고 있다. 이러한 문제를 해결하기 위하여 많은 연구자들이 특별한 소결법이나 소결조제, 고용체 등을 위한 방법을 연구 중이다. 본 연구에서는 0.95(Na0.5K0.5)NbO3-0.05CaTiO3 (NKN-CT) 세라믹의 높은 소결 온도에 따른 시편의 저항 감소와 압전 특성 하락, 폴링 공정시 어려움과 같은 문제점들을 해결하기 위해 진행하였다.

이러한 문제들을 해결하기 위해서 NKN-CT세라믹에 MnO2를 첨가하였다. MnO2가 첨가된 NKN-CT 세라믹의 치밀화와 비정상적인 결정의 성장이 1020oC에서 소결 시에 발생하며, MnO2가 이 물질의 액상소결을 도와준다. Mn3+ 이온은 그 구조에서의 A-site에 들어가며, 그로 인해 자유전자가 생긴다. 이 자유전자는 알칼리 이온이 휘발하면서 생기는 정공과 상호작용을 한다.

이러한 상호작용의 결과로 시편의 저항값이 증가하며, 이 향상된 저항값은 폴링 능률을 증가시킨다. 결과적으로, NKN-CT 세라믹의 유전, 압전 특성이 증가한다. 조금의 Mn3+ 이온은 NKN-CT 세라믹 구조의 B-site에 들어가서 기계적 품질 계수를 소폭 증가시킨다.

본 연구를 통하여 기존의 NKN-CT 세라믹보다 압전, 유전 특성이 향상되었으며, 폴링 능률의 증가를 통한 재료의 재현성이 향상되었다.
Research Highlights
Journal of the Korean Ceramic Society, vol. 53, No. 2, pp. 150-161, 2016
A Superior Description of AC Behavior in Polycrystalline Solid Electrolytes with Current-Constriction Effects
이종숙
전남대학교 신소재공학부 전자세라믹연구실
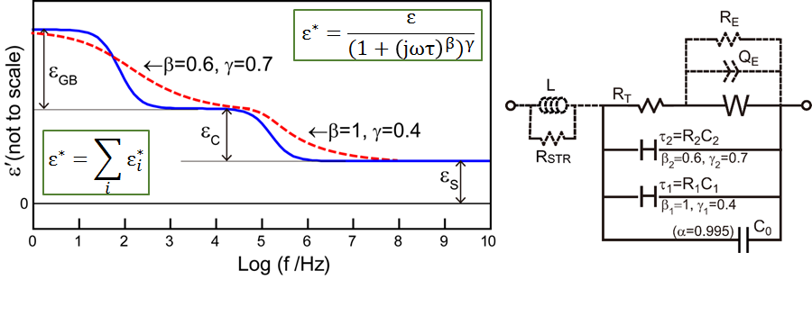
임피던스 분광법은 반도체 및 전기화학 디바이스 또는 관련 소재의 특성 분석에 광범위하게 활용되고 있고 그 인기가 점점 더해간다고 할 수 있다. 주파수에 따라 한번에 얻은 임피던스 데이터를 소위 등가회로 개념을 적용하면 소재나 디바이스에서 여러 저항성분을 분리하고 관련된 커패시턴스 성분들도 한큐에 구할 수도 있기 때문이다. 현재 다양한 상용 임피던스 분석기가 많은 연구실에 보급되어 있고 작동도 간단하여 한번 측정에서 전형적으로 로그스케일 주파수범위에서 수십 개의 데이터를 쉽게 얻는다. 하지만 이런 데이터가 등가회로 분석을 통해 가능한 모든 정보를 얻는 경우는 아마도 백만분의 일도 되지 않을까 한다. 본 연구자는 수십 년 전 학위과정부터 임피던스 분광법을 연구주제 또는 주요 연구방법으로 공부해 온 결과 “백만분의 일”의 분석을 수행할 수 있는 나름의 전문가라고 할 수도 있겠으나, 현재 최고수준이라는 분석법의 근본적인 여러 문제점에 대해 오래 고심해 왔다. 많은 실험데이터를 축적하고 다양한 각도로 검토해 온 결과 근년에 비로소 조금 흡족한 돌파구를 찾기 시작하게 되었다. 본 논문에서는 입계에서 전류협착효과로 저항이 커지는 다결정 고체전해질의 분석방법을 이론적 시뮬레이션을 통해 제시한다. 통상적인 입내와 입계 임피던스를 더하는 brick-layer 모델이 아니라 입계에 의한 커패시턴스 효과를 더하는 병렬회로가 실제 시스템을 더 적절히 묘사하는 등가회로이라는 것이다. 이것은 사실 학교에서 배우는 주파수에 따른 유전상수의 변화를 나타내는 아래 왼쪽 그림과 동일한 모델이다. 여러 커패시턴스 성분이 고유의 시상수에 따라 활성화 되어 더해지게 되는 양상이 Debye 함수의 일반적인 형태인 Havriliak-Negami 복소유전함수로 나타낼 수 있다. 복소유전함수는 모든 임피던스 양상을 부분적으로는 설명해서 만능으로 쓰이는 CPE 와는 달리 잘 정의된 커패시턴스 크기를 나타내고 이것이 실제 많은 소듐, 산소, 리튬, 프로톤 고체전해질의 교류양상이다. 주파수 분산을 나타내는 도 물리 메커니즘과 미세구조에 따라 고정되므로 10개 내외의 패러미터를 가진 등가회로는 여러 온도에서의 주파수에 따른 임피던스 양상을 한꺼번에 다 묘사할 수 있다. 역으로 실험 raw data 에서 이러한 패러미터들을 직접적으로 바로 확인할 수 있다는 것이, 모르는 사람에게는 신비하고, 아는 사람에게는 찜찜했던, 종래의 임피던스 분석법과의 큰 차이점이다.
Research Highlights
Journal of the Korean Ceramic Society, Vol. 53, No. 2, pp. 246~252, 2016
The Effect of Fused Silica Crystallization on Flexural Strength and Shrinkage of Ceramic cores for Investment Casting
김영환*,**, 여정구*, 최성철**
*한국에너지기술연구원 창의소재연구실
**한양대학교 공과대학 신소재공학과
한강의 기적과 같은 비약적인 경제 발전과 함께, 국내 전력수요는 나날이 증가하고 있는 추세이다. 국내 발전 용량의 약 25%는 화력이 담당하고 있으며, 특히 LNG의 가격안정에 따른 원가절감 및 친환경성으로 인해 화력발전용 가스터빈에 대한 관심이 커지고 있다. 정부에서도 기술경제적 중요도를 인식하고 대형 가스터빈 개발과제를 산업부 지원하에 진행되고 있다. 그러나 현실은 가스터빈 핵심 부품 및 소재 기술을 국외 원천 제작사들이 독점하고 있으며, 소재관련 국내 기술은 대부분 기초 연구단계에 머물고 있다. 이에 본 연구에서는 가스터빈 고온부품 주조에 사용되는 세라믹 코어를 자체적으로 개발하는 연구를 진행하였다.

본 연구주제인 세라믹 코어는 터빈의 냉각을 위해 중공형 (hollow) 구조를 갖는 부품으로 가스터빈 고온부품의 주조에 필수적으로 사용되는 중간재이다. 정밀한 치수 및 주조환경에서의 뛰어난 열적 안정성을 요구한다. 가스터빈과 마찬가지로 DAI ceramics, MTC Certech 등의 외국 제작사들이 보유하고 있는 세라믹 코어에 대한 제작기술은 기업의 노하우로 외부에 일절 공개되지 않고 있어 기술 확보에 어려움이 매우 크다. 주된 이유는 고온부품의 주조과정에서 세라믹 코어를 제거하기 때문에 코어에 대한 역설계가 어렵고 세라믹 소성을 거치므로 원료 배합물의 조성을 파악할 수 없다는 점이다.

실리카계 코어의 제조는 용융실리카의 결정상인 크리스토발라이트(cristobalite)의 저온영역(300°C) 에서의 상전이(β→α phase)에 따른 부피감소에 의해 발생하는 수축 및 미세균열의 제어는 세라믹 코어의 물성을 좌우하는 매우 중요한 요소이다. 따라서 본 연구에서는 소결공정 제어를 통해 용융실리카의 결정화를 억제함과 동시에 고온부품 주조를 위한 왁스 패터닝 및 쉘 몰딩 공정에도 충분히 견딜 수 있는 세라믹 코어를 제작하였다. 탈지공정에서의 속도 및 바인더를 통해 세라믹 코어의 결함을 제어할 수 있었으며, 1150°C 이상의 온도에서 열처리하여 왁스 패터닝 후에 파손되지 않도록 10MPa 이상의 강도를 갖는 세라믹 코어를 만들었다. 쉘 몰딩을 위한 소성시 1150°C에서 열처리된 세라믹 코어는 1200°C에서 열처리된 코어에 비해 낮은 강도로 인해 파손되었다. 최종적으로 1200°C, 12시간의 소결조건을 통해 크리스토발라이트의 생성을 억제함과 동시에 용융실리카를 소결하여 충분한 강도(20MPa)를 갖게 함으로써 쉘 몰딩을 위한 소성 후에도 파손이 발생하지 않는 세라믹 코어를 제작할 수 있었다.
최신 뉴스
웨어러블 '섬유형 트랜지스터' 개발
입을 수 있는 웨어러블 스마트의류를 위한 섬유형 트랜지스터가 개발됐다. 옷감 위에 딱딱한 고체 전자소재와 센서를 달아 하루종일 입고다니기 불편했던 스마트의류의 단점을 개선할 수 있을 것으로 기대된다.

KIST(한국과학기술연구원•원장 이병권)는 임정아 광전소재연구단 박사팀이 전도성 실 위에 1회 코팅으로 절연막과 반도체 막을 동시에 형성할 수 있는 기술을 개발, 실 형태의 전계효과 트랜지스터를 구현하는데 성공했다고 7일 밝혔다.

다양한 전자소자 중에서 트랜지스터는 센서, 디스플레이 등 전자소자 구동에 있어 기본이 되는 스위칭 소자로 섬유형 전자소자 구현에 있어 필수적인 부품이다.

그러나 반도체와 절연막, 전도성 전극의 복잡한 다층구조로 이뤄져있어 섬유형태로 구현하는데 어려움이 있었다. 또 기존에 보고된 섬유형 트랜지스터는 절연막과 반도체 사이의 계면접착력이 좋지않아 외부 변형에 소자 성능이 나빠지는 단점이 있었으며, 반도체 층이 섬유의 한쪽 면에만 형성되어 있어 섬유상 직접 직조해 넣는데 한계가 있었다.

이에 연구진은 용액공정이 가능한 유기반도체와 절연체 고분자의 혼합물(블렌드) 용액을 전도성 실 표면에 1회 코팅해, 혼합물에서 자발적으로 상분리를 일으켰다. 이를 통해 유기반도체가 실 가장 바깥쪽 표면에 막을 형성하고 그 안쪽에는 절연체 막이 형성되어 절연막•반도체 이중층으로 감싸진 전도성 섬유 구조체를 제작하는데 성공했다.

임 박사팀에 따르면 개발한 섬유 구조체는 절연막•반도체 층의 계면접착성이 우수해 소자를 3mm 까지 접은 후에도 소자의 성능이 80% 이상 유지되는 특성가졌다. 또 섬유 표면 전체에 절연막•반도체가 고르게 형성되어 있어, 트랜지스터 성능이 균일하게 나옴을 알 수 있었으며, 전도성 실을 소스와 드레인 전극으로 사용하고 일반 면사와 함께 직조하여 옷감 안에 트랜지스터 소자를 직접 삽입할 수 있는 전자섬유를 제작할 수 있게 됐다.

연구팀 관계자는 "직조 가능한 섬유형 트랜지스터로서 기존의 평면상에 제작한 유기반도체 트랜지스터와 유사한 특성과 성능을 구현할 수 있음을 보여준 의미 있는 결과"라며 "차세대 웨어러블 컴퓨터, 인체신호 모니터링 기능을 가지는 스마트 의류 등 한층 똑똑해진 차세대 웨어러블 제품을 개발하는데 응용 가능할 것으로 기대된다"고 말했다.

연구성과는 어드밴스드 펑셔널 머터리얼스에 지난 2월 19일자로 게재됐다.
(출처: http://www.hellodd.com/?md=news&mt=view&pid=57202)
최신 뉴스
2000도 이상 견디는 초고온 세라믹 코팅기술 개발
전북대는 고온플라즈마응용연구센터 문세연 교수팀이 2000도 이상의 고온에서도 안정적으로 견딜 수 있는 초고온 세라믹 코팅기술을 개발했다고 13일 밝혔다. 연구팀에 따르면 초고온 세라믹은 고온 환경에서 열이나 기계적으로 안정적인 재료로 실리콘카바이드(SiC), 하프늄카바이드(HfC) 등이 이에 속한다. 그러나 초고온 세라믹 코팅에 이용되는 기존 물리적 타일 부착과 화학기상증착 방법의 경우 공정이 매우 복잡하고, 고비용•저효율이라는 단점이 있다.

문 교수팀은 이같은 문제점을 극복하기 위해 고온의 플라즈마 화염에 하프늄카바이드 분말을 직접 투입해 용융•분사시키는 ‘진공 플라즈마 용사코팅’ 방법을 활용, 탄소 복합재에 수백 마이크로미터 두께의 균일한 하프늄카바이드 보호층을 코팅하는 기술을 개발했다. 이같은 기법으로 코팅된 하프늄카바이드층은 실험 결과 2000도 이상의 고온환경에서 하부의 탄소복합재를 완벽하게 보호하며 안정성을 입증했다고 연구진은 밝혔다.

연구팀은 이 기술이 고온환경에서 내열이 요구되는 우주선 등 우주항공 분야와 발전소 터빈 블레이드, 원자로 내벽, 자동차, 산업기계 분야에 널리 활용될 것으로 기대하고 있다. 문 교수팀의 연구 결과는 세라믹 분야 세계 최고 수준의 저널인 ‘유럽 세라믹학회지(Journal of European Ceramic Society)’ 온라인판에 실렸다.

이번 연구는 대양산업과 공동으로 진행됐으며, 미래창조과학부의 핵융합연구개발사업과 우주기술개발사업의 지원을 받았다.

 (출처: http://www.jjan.kr/news/articleView.html?idxno=576879)

최신 뉴스

재료연 2차원 초박막 소재 계면 접합 기술 개발...웨어러블 기기 상용화 앞당겨

웨어러블 컴퓨터 상용화에 한 걸음 더 다가간 원천기술을 국내 연구진이 개발했다. 얇은 2차원 소재를 서로 맞닿게 쌓아 성능을 높인 기술이다. 해당 성과를 담은 논문은 `나노레터스` 3월호에 실렸다.

개발 주역은 조병진 재료연구소 표면기술연구본부 박사팀(제1저자 김아라, 김용훈)이다. 조 박사팀은 머리카락 10만분의 1 굵기의 얇은 고성능 트랜지스터 소자 개발에 성공했다. 이 소자는 금속 없이 2차원 도체 소재와 계면 접합 기술로 만들어졌다.

이번 연구에는 함명관 인하대 교수, 남재욱 성균관대 교수, 아자이안 미국 라이스대 교수 등이 참여했다.

조 박사팀은 2차원 반도체 소재(텅스텐 다이셀레나이드)와 2차원 도체 소재(니오비윰 다이셀레나이드)를 소자 개발에 활용했다. 이렇게 만든 소자는 마치 종이 두 장을 겹친 것처럼 매우 얇고 잘 휜다.

기존에는 2차원 도체 소재 대신에 팔라듐 같은 금속을 사용했다. 이는 종이 한 장 위에 표면이 거친 두꺼운 책을 올려 놓은 것과 같아 웨어러블 컴퓨터에 적용하기 어려웠다. 트랜지스터 소자는 컴퓨터 등 전자기기에 사용하는 기본 단위 부품이다.

웨어러블 컴퓨터에 적용 가능한 얇은 트랜지스터 소자를 만들려면 2차원 소재를 사용해야 한다. 문제는 소재가 만나는 계면의 청정도와 균일도다. 이 두 요소가 소자성능을 결정짓는다.

2차원 소재와 금속이 만난 계면은 금속으로 인해 울퉁불퉁하고 무수한 결함을 동반해 소자 성능이 크게 저하된다.

조 박사팀은 금속 대신에 유사한 전기적 성질을 지니고 또한 얇은 2차원 도체 소재를 사용해 깨끗하고 균일한 계면을 형성했다.
이번에 개발한 소자는 기존 금속 소재를 적용한 소자보다 전기가 빨리 통해 트랜지스터 성능이 5배 이상 향상된다. 적용 소재는 모두 2차원 소재이기 때문에 제조 공정이 간결하고, 제조 인프라 구축 비용도 절감할 수 있다.

조병진 박사는 “2차원 도체 소재를 개발하고 이를 다른 2차원 소재와 잘 접합하는 기술은 경쟁력 있는 원천기술”이라며 “개발 기술을 더욱 발전시켜 차세대 2차원 반도체 소자 집적화 기술로 이어가면 웨어러블 컴퓨터 상업화를 앞당길 수 있을 것”일 말했다.

이번 연구는 재료연구소 `전이금속계 2차원 소재 원천기술 개발 사업`과 한국연구재단 신진연구자지원사업으로 수행됐다.
(출처: http://www.etnews.com/20160316000267)
최신 뉴스

전기차 운행거리 3배 늘린다… 日 고성능 전지 개발

전기자동차 운행거리가 지금보다 3배가량 늘어날 전망이다.

23일 아사히신문에 따르면 간노 료지 도쿄공대 교수와 토요타자동차, 고에너지가속기연구기구 공동연구팀은 고체형 세라믹 전지를 개발했다.

이 전지는 전기자동차에 주로 쓰이는 리튬이온 전지 보다 3배 이상 출력이 높다. 충전 시간이 짧고 소형화가 가능해 전기차 1회 충전으로 주행 가능한 거리가 크게 늘어날 것으로 보인다.

간노 교수는 “상품화까지는 시간이 걸리지만 차세대 축전지로 가장 유력하다”고 주장했다.

연구팀은 전기가 통하는 `초(超) 이온전도체`에 주목하다가 리튬이온 전지보다 전기가 잘 통하게 하는 물질을 발견했다. 아직 실험 단계라 용량이 작지만 1분 만에 충전이 가능하고 1000번 이상 반복 충전해도 성능 저하가 없는 것으로 알려졌다.

특히 액체를 사용하지 않아 대용량이면서도 가벼운 전지를 만들 수 있다고 연구팀은 설명했다.

`2016 전기자동차엑스포` 관람객들이 현대자동차가 국내 최초로 공개한 친환경 전용차 `아이오닉 일렉트릭`과 홈충전기를 살펴보고 있다.
(출처: http://www.etnews.com/20160323000295)
최신 뉴스

[이슈분석] 터치·투명전극 패터닝 기술 난제 해결해야

디스플레이 업계에서는 폴더블 유기발광다이오드(OLED) 디스플레이를 구현하기 위해 터치와 전극 패터닝 기술 난도가 상당히 높은 것으로 보고 있다. 강화유리, 기판 등 패널 부문의 기술 문제는 거의 극복했다. 폴더블용으로 사용하는데 주요 부품 성능이 아직 부족하다. 패널이 유연해 구부리거나 접을 수 있는 디스플레이에서 문제없이 동작하는 터치 기술, 전극을 끊어짐 없이 유지할 수 있는 패터닝 기술은 당장 극복해야 할 과제로 꼽힌다.
ITO 전극소재 대체소재 비교 분석
구분 ITO ①메탈메시 ②은나노와이어 ③탄소나노튜브 ④그래핀 ⑤전도성고분자 ⑥불소산화주석
면 저항 150Ω/sq 50Ω/sq 80Ω/sq 270Ω/sq 300Ω/sq 260Ω/sq 25Ω/sq
투과도 89% 89% 91% 80% 80% 88% 90%
장점 현 상용
제품
면저항 우수/
투과율 좋음/
희소 금속 사용 없음
면저항 우수/
투과율 좋음/
희소 금속 사용 없음
강도 우수/
낮은 선폭 (20μm)
내화학성 및
기계적 강도 우수
굴곡성
우수
면저항 우수/
roll-to-roll 공정
가능
단점 굴곡성 및
강도 취약
모아레 현상,
시인성 개선 필요
헤이즈 현상 발생/
낮은 수율
높은 저항값 높은 저항값 높은 저항값/
시인성 나쁨
상용화
사례 적음
상용화
수준
IT기기 채택 양산준비 중 양산준비 중 개발 중 개발 중 개발 중

터치스크린 기술은 기기 두께를 줄이면서 터치 감도를 높이는 형태로 진화했다. 폴더블·플렉시블 터치 기술은 기판을 구부렸을 때 깨지지 않고 저항 손실 없이 전극이 정상으로 작동해야 한다.

삼성디스플레이는 리지드 OLED에 온셀(On-Cell) 타입 OCTA(On Cell TSP AMOLED) 기술을 적용했다. OLED 봉지 유리 위에 터치센서를 패터닝하고 그 위에 강화유리를 붙인 형태다.

폴더블 OLED에서는 박막봉지와 편광필름 사이에 터치센서를 배치하는 온셀 방식 P1D(Plastic one Display) 기술이 새롭게 채택될 가능성이 높다.

OLED 박막봉지 위에 터치센서를 바로 패터닝하는 공정도 연구되고 있다. 별도 필름을 사용하지 않으므로 두께가 더 얇아지는 것이 장점이다.

기존의 인듐주석산화물(ITO)필름을 대체하는 새로운 필름 소재 연구도 활발하다. 터치 패널에 적용하는 ITO필름은 구부렸을 때 깨지기 쉽고 소재 특성 상 크랙이 잘 생겨 폴더블용으로 적합하지 않다. ITO필름은 곡률이 5㎜까지 견디는 것으로 알려져 있다.

ITO필름을 대체할 수 있는 투명전극 소재로 메탈메시, 은나노와이어, 카본나노튜브(CNT), 하이브리드 메탈 임베디드 등이 꼽힌다. 아직 ITO보다 투과도나 저항값 등에서 더 높은 성능의 물질이 없어 대체 소재를 찾는 게 중요한 상황이다.

이 가운데 메탈메시는 투과율이 최대 90%로 높고 표면 저항값이 낮아 터치 응답 속도가 빨라서 상용화 가능성이 가장 높은 소재로 알려졌다. 터치패널 필름 위에 은, 구리 등 불투명한 금속으로 격자 무늬 패턴을 인쇄하는 기술이다.

가장 큰 문제는 배선 간격을 3마이크로미터(㎛) 이하로 줄이면 저항값이 높아져서 수율이 떨어진다. 이것이 당장 해결해야 할 숙제로 꼽힌다. 현재 3㎛ 수준의 메탈 메시 수율은 약 20% 수준에 불과한 것으로 알려졌다. 약 2~5㎛ 크기의 파티클만 발생해도 생산할 수 없는 상황이 된다는 것도 문제다.

은나노와이어는 수 나노미터(㎚) 두께에 불과한 은 와이어를 포함한 용액을 코팅하는 방식이다. 높은 유연성과 전도성이 강점이다. ITO 필름보다 가격이 높았지만 점차 하락했고, 적은 양으로도 높은 성능을 구현할 수 있다. 프린팅 방식으로 전극을 쉽게 형성할 수 있는 것도 장점으로 꼽힌다.

그러나 OLED에 전극을 형성할 때 균일도가 떨어지는 문제가 남았다. 흡습성이 높은 고분자절연물질(PVP)이 수분과 만났을 때 성능에 악영향을 미치는 것도 문제여서 PVP를 효과 높게 제거하는 방법도 찾아야 한다.

(출처: http://www.etnews.com/20160331000120)
최신 뉴스

전자피부로 활용 가능한 초박막 투명·유연 촉각센서 개발

표준연 김민석·연세대 안종현 교수팀 "인체 센서·인공피부로 활용"
(대전=연합뉴스) 이주영 기자 = 국내 연구진이 피부에 부착해 의료용으로 사용하거나 인공 피부로도 활용할 수 있는 유연한 초박막 투명 촉각센서를 개발했다.
한국표준과학연구원(KRISS) 질량힘센터 김민석 박사와 연세대 전기전자공학부 안종현 교수팀은 8일 차세대 반도체 소재로 주목받는 이황화몰리브덴(MoS)을 이용해 75나노미터(㎚=10억분의 1m) 두께의 초박막 유연 촉각센서를 개발했다고 밝혔다.
엄지에 이황화몰리브덴 초박막 유연 촉각센서를 부착한 모습과 이 부분의 주사전자현미경(SEM) 사진. (b)에서 촉각센서 부착 후에도 지문 굴곡이 그대로 그러나는 것을 볼 수 있다. [KRISS 제공]

촉각센서는 로봇의 전자피부에서 건강관리 시스템까지 다양하게 활용될 것으로 전망되면서 널리 연구되고 있다. 특히 학계는 유연하고 감도가 우수한 고기능의 대면적 촉각센서 개발에 힘을 쏟고 있다.

하지만 지금까지 제시된 폴리머 기반 고감도 유연 촉각센서들은 사용빈도가 늘어나면 물성이 변하거나 출력값에 비선형성이 나타나고 반복성이 떨어지는 등 약점이 있었다.

반면 반도체 물질을 기반으로 한 압저항형(piezoresistive) 센서는 높은 감도와 안정적 작동으로 주목받고 있으며, 센서 소재로는 그래핀처럼 수 나노미터 두께의 초박막 제조가 가능한 반도체 물질인 이황화몰리브덴이 주목받고 있다.

연구팀은 실리콘(Si) 기판에 형성된 산화실리콘(SiO) 층 위에 화학기상증착법(CVD)으로 이황화몰리브덴 막을 대면적으로 합성한 후 포토리소그래피 방식으로 이황화몰리브덴 패턴을 인쇄, 압력에 반응하는 고감도 스트레인 게이지(strain gauge) 소자를 만들고, 스트레인 게이지의 전기 배선 물질로 그래핀을 사용해 촉각센서를 제작했다.
이렇게 제작된 유연 촉각센서는 두께가 75나노미터 수준으로 손가락에 붙일 때 지문 굴곡을 따라 밀착될 정도로 얇고, 민감도도 스마트폰을 보통 터치할 때 압력(약 10㎪)의 10분의 1 정도(1.24㎪)까지 감지할 정도로 우수한 것으로 나타났다.

또 이 센서는 빛투과율이 80% 이상이며 기계적으로 1.98% 잡아 늘여도 측정 성능이 그대로 유지되는 것으로 확인됐다.

연구진은 이황화몰리브덴은 반도체 특성을 가져 감도가 매우 높고 그래핀 전극과도 접촉 특성이 좋으며 투명한 게 특징이라면서 나노미터 수준의 두께로 매우 유연한 대면적 센서 제작이 가능해 손가락이나 가죽 등 표면에 센서를 구현할 수 있다고 설명했다.

김민석 박사는 "이 유연 촉각센서는 인체 등에 이식되거나 피부 위에 부착돼 의료용으로 사용될 수 있고 인공피부로 활용도도 높다"며 "압력을 구분하기 때문에 디스플레이와 결합한 촉각 인터페이스로 활용할 수도 있을 것"이라고 말했다.

이 연구 결과는 국제학술지 '어드밴스드 머티리얼스'(Advanced Materials, 4월 2일자) 온라인판에 게재됐다.
(출처: http://www.yonhapnews.co.kr/bulletin/2016/04/07/0200000000AKR20160407181600063.HTML?8f03c028)
최신 뉴스

KAIST, 반딧불이 구조 적용 OLED 개발

OLED(유기발광다이오드,Organic Light-Emitting Diode·이하 OLED) 보다 발광효율이 향상된 반딧불이 모사 유기발광다이오드가 개발됐다. 

KAIST(총장 강성모)는 정기훈 바이오·뇌공학과 교수 연구팀이 반딧불이 발광기관 구조의 광학적 역할을 밝혀내고 이를 공학적으로 모사하는데 성공했다고 25일 밝혔다.

반딧불이는 스스로 빛을 내는 대표적인 자연발광체이면서 자연계 내에서 가장 높은 발광효율을 갖고 있기 때문에 그동안 이에 대한 연구가 이뤄졌다.  

기존의 연구는 주로 발광 원리를 밝혀내는 과정에 집중되어 있어 반딧불이 발광기관의 광학적 구조에 대한 연구는 상대적으로 활발하지 않았다. 

반딧불이의 발광기관은 빛을 발생시키는 발광세포층, 외피층으로 향하지 않는 빛을 반사키는 역할을 하는 반사층, 최종적으로 발생된 빛이 외부로 빠져나가는 외피층으로 구성된다.

이 중 반사층과 외피층의 광학구조와 역할이 명확하지 않던 상황에서 연구팀은 반딧불이의 발광기관 외피에 마이크로·나노구조가 결합된 계층적 구조가 있음을 발견하고, 광학수치해석과 실험을 통해 이 구조의 역할이 발광세포층에서 발생되는 빛을 효과적으로 추출하면서 넓은 광 분포를 구현하는 것임을 알아냈다.

연구팀은 이러한 광학구조를 OLED에 적용해 발생된 빛이 내부에 갇혀 20%의 빛만 외부로 추출되는 문제점도 해결했다. 

연구팀은 반도체공정과 미세금형공정을 이용해 반딧불이의 광학구조를 모사하고, 이를 OLED에 적용해 광 추출 효율을 최대 61%까지 향상시켰다. 또한 계층적 구조를 이용해 기존 OLED보다 넓은 광 분포도를 구현했다.

이에 따라, 앞으로 광학구조의 설계 변경을 통한 다양한 광 분포 조절로 OLED 기반 조명과 디스플레이에 적용하고, OLED의 발광 효율을 효과적으로 향상시킬 수 있을 것으로 전망된다.

연구팀 관계자는 "반딧불이 발광기관에서 발견된 계층적 광학구조를 성공적으로 모사하고, 이를 통해 OLED의 발광효율을 효과적으로 향상시켰다"면서 "이번 연구를 기점으로 생물발광기관 모사 연구가 활발히 진행됐으면 한다"고 기대했다. 

이번 연구는 나노분야의 국제 학술지 '나노 레터스(Nano Letters)' 5일자 온라인 판에 게재됐다.

(출처: http://www.hellodd.com/?md=news&mt=view&pid=57715)
회원동정
김영욱 서울시립대 교수, 미국 세라믹학회 펠로우 선정
서울시립대 신소재공학과 김영욱 교수는 미국 세라믹학회 최고 영예인 펠로우 (Fellow, 석학회원) 에 선정되었다. 김교수는 탄화규소 세라믹스 등 엔지니어링세라믹스 분야에서 탁월한 연구업적과 학회 발전에 기여한 점을 인정받았다.

미국 세라믹학회(The American Ceramic Society)는 매년 엄격한 심사를 통해 탁월한 업적을 낸 학자를 펠로우로 선정하고 있으며, 우리 학회 회원으로는 강석중 한국세라믹기술원 원장, 김도연 포항공과대학 총장, 김해두 재료연구소 소장, 서울대학교 김현이 교수 및 KAIST 김도경 교수 등이 선정된 바 있다.
주소: (06704)서울특별시 서초구 방배로 76, 머리재빌딩 403호
전화: 02-584-0185 팩스: 02-586-4582 이메일: ceramic@kcers.or.kr